近日,我院王波教授团队在计算机科学领域人工智能TOP顶级期刊《Engineering Applications of Artificial Intelligence (EAAI)》(2025年中科院最新分区中计算机科学,中科院一区TOP,大类、小类双一区TOP,IF=8.0)上发表了关于人工智能大数据关联预测的重要研究成果,题为“Predicting potential microbe-disease associations based on heterogeneous graph attention network and deep sparse autoencoder”。该研究提出了一种基于图神经网络的深度学习框架GCDSAEMDA,旨在开发一种科学有效的计算模型预测潜在的微生物和疾病关联。王波教授为第一及通讯作者,团队成员赵文龙、杜晓昕、张剑飞、张春宇等共同参与了该研究。
EAAI为国际学术界公认的权威期刊,在计算机科学与人工智能领域有着重要影响力,IFAC 8本会刊之一,IFAC主办包括Automatica、Control Engineering Practice、Engineering Applications of Artificial Intelligence在内的8本会刊,其中EAAI是为人工智能领域top顶刊,致力于推广和传播人工智能工程应用的创新研究成果。此次我院首次在该期刊上发表高水平学术论文,标志着我院在人工智能领域取得了重要突破。
王波教授团队关于人工智能大数据关联预测的研究成果
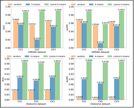
王波教授团队提出了一种名为GCDSAEMDA的深度学习框架,结合了图神经网络和深度学习技术,旨在解决微生物和疾病的关联预测问题。该框架通过多头动态注意力机制和深度稀疏自编码器,能够有效捕捉微生物节点和疾病节点的低阶特征和高阶特征信息,从而在复杂网络中实现高效的关联预测。实验结果表明,GCDSAEMDA在多个数据集上均优于其他四种目前最先进的四种方法,尤其是针对大规模数据集Disbiome上表现出色。
王波教授团队的研究成果不仅展示了GDDSAEMDA模型在微生物和疾病关联预测的强大性能,还通过案例研究预测结直肠癌和炎症性肠病的相关微生物,进一步证明GCDSAEMDA具有较强的预测能力。这一成果对于解决疾病的发病机理和设计有针对性的治疗策略提供了新的解决方案,具有广泛的应用前景。



王波教授简介
王波,博士,教授,硕士研究生导师,毕业于哈尔滨工程大学,哈尔滨工业大学航天软件工程研究中心访问学者,鉴于访学科研成绩突出黑龙江省教育厅授予“优秀学员”称号。现任计算机应用技术学科带头人,电子信息(计算机技术)领域负责人,国家一流建设专业带头人,计算机科学与技术系主任。中国计算机学会(CCF)专业会员,中国人工智能学会会员,黑龙江省软件学会会员,国家教育信息化专家库成员,黑龙江省工业和信息化厅专家库软件领域专家,黑龙江省教学技能竞赛评审专家,《IEEE JOURNAL OF BIOMEDICAL AND HEALTH INFORMATICS》等多个SCI期刊外审专家、学术编辑。学术成果丰硕,发表学术论文50余篇,其中SCI收录16篇(累计影响因子68.2),EI收录15篇,CSCD核心8篇,知名国内985大学学报(卓越期刊)4篇;申请及授权发明专利20项,获计算机软件著作权24项,出版学术专著1部;主持各级各类科研项目18项。工程项目经验丰富,研究成果《电视台主持人大赛计算机控制系统》获齐齐哈尔市人民政府第十三届社会科学优秀科研成果一等奖,该系统连续两年在齐齐哈尔电视台使用,鹤城晚报热忱报道,该成果获得2项专利和1项计算机软件著作权,通过了黑龙江省科技厅的科技成果鉴定,获得了科技成果水平鉴定(国内先进)。
王波教授团队简介
王波教授带领团队实行“头脑风暴-交互式组会”机制,并在团队内发起“精读月”等系列活动,团队学术氛围浓厚,治学严谨,管理规范有序,团队队训为“规范严谨,功夫到家”,团队高质量科研成果频出,是一支有朝气、有潜力的科研新星队伍。